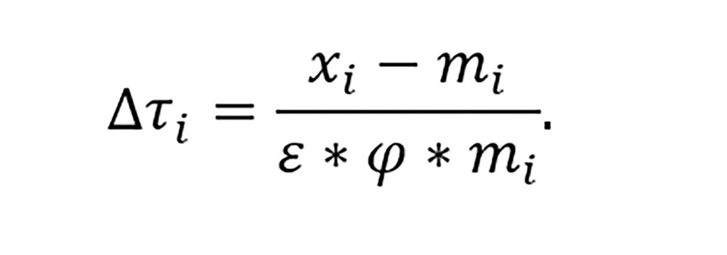
Predsednik SAD Donald Tramp drži potpisanu izvršnu uredbu o novim carinskim tarifama, Foto: Beta/AP Photo/Evan Vucci Predsednik SAD Donald Tramp drži potpisanu izvršnu uredbu o novim carinskim tarifama, Foto: Beta/AP Photo/Evan Vucci Predsednik SAD Donald Tramp drži potpisanu izvršnu uredbu o novim carinskim tarifama, Foto: Beta/AP Photo/Evan Vucci Kako je Tramp izračunao carinu do 37% za Srbiju, 34% za Kinu ili 20% za EU? Formulu niko ne razume, a stručnjak tvrdi: "Kakva besmislica" autor: Nova.rs Svet 03. apr. 2025. 14:33 19 Podeli vest: Prvi čovek SAD Donald Tramp objavio je spisak carina koje Amerika uvodi većini svojih trgovinskih partnera više puta naglašavajući da je stopa za svaku zemlju "recipročna". Međutim, konkretne cifre izazvale su polemiku kako je Trampov tim došao do brojki koje su predstavljene na velikim tablama tokom obraćanja u Beloj kući. Na toj tabli, na primer, Srbija je u samom vrhu sa carinama koje će iznositi čak 37 odsto. Odakle cifra od 37 odsto? Podeli vest: Oglas Donald Tramp je, predstavljajući carine, držao velike table na kojima se pored svake zemlje nalaze dve kolone - u plavoj se nalaze tarife koje je određena zemlja uvela Americi, a u žutoj nove carine koje Amerika uvodi toj zemlji. Prva kolona je obeležena kao "tarife koje se naplaćuju SAD, uključujući manipulaciju valutama i trgovinske barijere" (manipulacija valutom je drugo ime za državnu politiku kojom se "veštački" održava valuta uprkos tržištu, najpre da bi se favorizovali izvoznicite zemlje - prim. aut.) Predsednik SAD Donald Tramp predstavlja nove carinske tarife, Foto: EPA-EFE/KENT NISHIMURA / POOL | Predsednik SAD Donald Tramp predstavlja nove carinske tarife, Foto: EPA-EFE/KENT NISHIMURA / POOL Prema toj tabeli, srpske carine na američku robu su čak 74 odsto, vijetnamske 90 odsto, švajcarske 61 odsto, indijske 52 odsto, južnoafričke 60 odsto, carine EU 39 odsto...Carine koje je Amerika uvela svakoj od zemalja ili saveza sa liste su tačno pola od carina koja ta zemlja ili savez ima na američku robu, prema Trampovoj računici. Međutim, sva je prilika da nije reč samo o carinama i da je ključ za brojku u prvoj koloni u onim "sitnim slovima" na Trampovoj tabli - "uključujući manipulaciju valutama i trgovinske barijere". Dakle, brojka u prvoj tabeli je carina na američku robu, plus ova dva faktora, ali nije najasnije kako je Trampov tim izračunao uticaj manipulacije valutama i na kakve "trgovinske barijere" se misli. Šta su tačno kriterijumi za određivanje novih carina? "Njujork tajms", u svom tekstu "Kako je Tramp izračunao tarife?", navodi da je Tramp malo govorio o metodologiji, ali da se čini da je nova carinska stopa za svaku zemlju izvedena tako što se: Trgovinski deficit koji SAD imaju sa tom zemljom podeli sa izvozom koji je ta zemlja uputila ka Sjedinjenim DržavamaZatim, konačna carinska stopa se dobija tako što se dobijeni broj prepolovi, jer je Tramp rekao da će biti "dobar" Američki novinar i ekonomski stručnjak Džejms Surovicki prvi je ukazao na ovaj obrazac u objavi na mreži X. Njegov komentar je izazvao mnogo reakcija i komentara, a on je svoj stav objasnio na primeru Indonezije. Just figured out where these fake tariff rates come from. They didn't actually calculate tariff rates + non-tariff barriers, as they say they did. Instead, for every country, they just took our trade deficit with that country and divided it by the country's exports to us.So we… https://t.co/PBjF8xmcuv— James Surowiecki (@JamesSurowiecki) April 2, 2025 "Upravo sam shvatio odakle dolaze ove lažne carinske stope. Oni zapravo nisu izračunali stvarne carinske stope + necarinske barijere, kao što tvrde. Umesto toga, za svaku zemlju su jednostavno uzeli dve cifre - američki trgovinski deficit sa tom zemljom i podelili ga izvozom te zemlje u SAD. Dakle, imamo trgovinski deficit od 17,9 milijardi dolara sa Indonezijom. Njen izvoz u SAD iznosi 28 milijardi dolara. Dakle, 17,9 / 28 = 64%, što Tramp tvrdi da je carinska stopa koju Indonezija naplaćuje nama. Kakva neverovatna besmislica", navodi Surovicki. Ispod tog tvita, nastavio je da objašnjava. "Čak i kad se uzme u obzir da je u pitanju Tramp, ne mogu da verujem da su zapravo rekli: 'Samo ćemo podeliti trgovinski deficit sa uvozom i reći ljudima da je to carinska stopa'. A onda su odlučili da naše carine postave tako što će tu potpuno izmišljenu stopu jednostavno prepoloviti! Ovo je toliko glupo i obmanjujuće", tvrdi on. Potom dodaje da su je "još gore nego što je mislio", odnosno da su Trampovi ljudi pri izračunavanju carinske stope koristili samo deficit u robi. "Dakle, iako Sjedinjene Države ostvaruju suficit u trgovini uslugama sa svetom, ti izvozi se, što se Trampa tiče, uopšte ne računaju", piše on. Zvanično saopštenje o recipročnim tarifama Bela kuća je kasnije pojasnila svoju metodologiju na sajtu Kancelarije trgovinskog predstavnika Sjedinjenih Američkih Država (United States Trade Representative, USTR). Iako koristi neke matematičke simbole koji mogu biti teški za tumačenje, u saopštenju se potvrđuje da je formula u suštini zasnovana na trgovinskom deficitu SAD sa nekom stranom zemljom, podeljenim izvozom te zemlje. Formula objavljena u tom saopštenju izgleda ovako: Foto: ustr.gov | Foto: ustr.gov "Oduvek je bilo jasno da će biti veoma teško precizno izračunati recipročne carinske stope.. S obzirom na to da su, kako izgleda, želeli da brzo izađu sa nečim konkretnim, izgleda da su došli do aproksimacije koja je u skladu sa njihovim političkim ciljevima", rekla je za "Njujork tajms" Emili Kilkris, direktorka Programa za energiju, ekonomiju i bezbednost u Centru za novu američku bezbednost i bivša zamenica pomoćnika američkog trgovinskog predstavnika. Brzi vodič kroz tarife koje je Tramp uveo: Ko je na udaru, kako je regovala Kina i zašto je spisku ostrvo na kom skoro niko ne živi? Svet 2 Trampov šamar: Amerika uvodi Srbiji carine od 37 odsto, samo ovih šest zemalja dobilo je veće carine Svet 28 Trampove carine za Balkan: Srbija najpogođenija sa 37%, BiH i Severna Makedonija slede, Albanija i Crna Gora u boljoj poziciji Svet 48 Donald Tramp Pratite nas na društvenim mrežama: Koje je tvoje mišljenje o ovoj temi? Učestvuj u diskusiji ili pročitaj komentare Budite prvi koji će ostaviti komentar Pošalji komentar Pročitaj komentare (19)
Brzi vodič kroz tarife koje je Tramp uveo: Ko je na udaru, kako je regovala Kina i zašto je spisku ostrvo na kom skoro niko ne živi? Svet 2
Trampov šamar: Amerika uvodi Srbiji carine od 37 odsto, samo ovih šest zemalja dobilo je veće carine Svet 28
Trampove carine za Balkan: Srbija najpogođenija sa 37%, BiH i Severna Makedonija slede, Albanija i Crna Gora u boljoj poziciji Svet 48
0 More se na ovom mestu razdvoji na dva dela dva puta godišnje: Ovaj fenomen zovu „Božjim čudom“, a istina je... Nauka 0
1 Savet 28-godišnjeg AI milijardera tinejdžerima: „Radite samo ovo i čeka vas ogroman uspeh i novac“ Lifestyle 1
4 U ovoj zemlji mladi (18 do 30) najbolje žive: Ne stanuju sa roditeljima i odmah se zaposle, ali postoji caka Lifestyle 4
2 Kažu da nikad ne perete veš u mašini na 30 ili 40°C? Stručnjaci otkrivaju istinu i šta sve od bakterija i virusa preživi Lifestyle 2
7 Novi kviz opšte kulture za one koji su sigurni da znaju baš sve: Koliko imate tačnih odgovora? Lifestyle 7
0 Danas u Srbiji ledeni dan, a od srede potpuno drugačije vreme: Evo za koliko će skočiti temperatura Lifestyle 0
1. Ministarka Adrijana Mesarović uvredila jednog od najvećih umetnika koje Srbija ima: Goran Marković je bolestan čovek bez integriteta
4. Ministre, pa gde su nam ti lekari i sestre: Bolnice i domovi zdravlja vape za kadrovima, a Lončar se i dalje hvali medicinarima - povratnicima iz inostranstva
5. "Od narko-kartela na vlasti samo nas može spasti JTOK - ako sutra krene redom da hapsi i optužuje": Gosti „Utiska nedelje“ o odgovoru na usvajanje „Mrdićevih zakona“
0 Teške optužbe protiv Vučevića: "Jedan je od glavnih krivaca za smrt 16 ljudi ispod nadstrešnice u Novom Sadu"
0 Novinaru TV Nova Radovanu Seratliću uručena nagrada "Gordana Suša": "Uspeo je da pomeri profesionalne standarde na dodatni nivo"
Nedeljni horoskop od 2. do 8. februara 2026: Saturn (konačno!) izlazi iz znaka Riba i započinje potpuno novo poglavlje
24 “Fabrika neprijatelja, izdajnika, loših Srba radi punom parom”: Goran Marković uzvraća na uvrede potpredsednice Vlade Srbije Kultura 24
0 Đilas: Vučić odgovorio Marti Kos i rekao nešto gluplje od onoga da svi treba da imaju struju i kada pada sneg Politika 0
25 Dragan Bujošević se razdužio, Upravni odbor danas bira novog direktora RTS-a: Tri opcije za vršioca dužnosti Društvo 25
7 Sprečena likvidacija na Senjaku: Mladići trebalo da ubiju metu u kafiću, pored lokala nađen i pištolj Hronika 7
1 Građani aplauzom pozdravili sudije i tužioce prilikom izlaska iz novosadske Palate pravde u znak protesta zbog Mrdićevih zakona, podrška kolega stiže iz šest gradova Hronika 1
Nenadić: Istraga slučaja "Nadstrešnica" trebalo je da ima tri faze, šteta od 115 miliona dolara je rezultat samo prve faze
Glavni tužilac za organizovani kriminal Nenadić: "Izmenama zakona smo „osakaćeni“, došli u situaciju da nemamo policiju koja hoće da sarađuje sa Tužilaštvom"
0 Revolucija u Los Anđelesu – Lebron piše istoriju, Jokić konačno sa saigračem, a „Svet“ preti Americi
0 Alkaraz razočarao navijače nakon titule na Australijan openu: "Morao sam da donesem tešku odluku..."
0 Upoznali su se na snimanju njenog spota, važili za skladan par, a onda je usledio buran raskid: Ljubavna priča Šakire i Pikea - od bajke do izdaje Showbiz 0
Hajdi Klum stajlingom na dodeli Gremija napravila pometnju: Svi pričaju o njenoj "goloj" haljini FOTO Showbiz 0
"Nikada ne bih dozvolio da Mina dođe u Ameriku": Pevačica ispratila Kaspera, a ono što je on rekao šokiralo je sve Showbiz 0
Zašto lakše trošimo novac koji „ne vidimo“ i da li je impulsivna kupovina oblik zavisničkog ponašanja
Neurohirurg (92) kaže da ovaj desert održava mozak mladim: Možete ga jesti svaki dan, ali pod jednim uslovom
0 Stari zanati koje smo otkrili u Egiptu: Tajne Kleopatrinog parfema i "kamena svetlosti" Putovanja 0
3 Ovo je najbolji način da skuvate testeninu: Dodajte samo jedan sastojak u vodu - nije ulje Gastro 3
1 Pet tona droge stiglo iz firme u Skoplju osnovane 2023. godine, čiji je vlasnik Srbin i posluje u gubitku: Novi detalji istorijske zaplene u selu Konjuh
1 VIDEO Dve osobe uhapšene u velikoj akciji policije u Zemunu: U garaži nađeno 500.000 psihoaktivnih tableta
0 Nenadić: Istraga slučaja "Nadstrešnica" trebalo je da ima tri faze, šteta od 115 miliona dolara je rezultat samo prve faze Hronika 0
Glavni tužilac za organizovani kriminal Nenadić: "Izmenama zakona smo „osakaćeni“, došli u situaciju da nemamo policiju koja hoće da sarađuje sa Tužilaštvom"
0 Dva dana pred početak suđenja Selakoviću, podsećamo vas kako je opstrukcija u slučaju "Generalštab" počela Hronika 0
0 Teolog Milićević: Odluka o mom isključenju iz SPC bila u dosluhu sa vrhom države - nema sumnje Društvo 0
Teške optužbe protiv Vučevića: "Jedan je od glavnih krivaca za smrt 16 ljudi ispod nadstrešnice u Novom Sadu" Društvo 0
Novinaru TV Nova Radovanu Seratliću uručena nagrada "Gordana Suša": "Uspeo je da pomeri profesionalne standarde na dodatni nivo" Društvo 0
Upoznali su se na snimanju njenog spota, važili za skladan par, a onda je usledio buran raskid: Ljubavna priča Šakire i Pikea - od bajke do izdaje Showbiz 0
Pet tona droge stiglo iz firme u Skoplju osnovane 2023. godine, čiji je vlasnik Srbin i posluje u gubitku: Novi detalji istorijske zaplene u selu Konjuh Hronika 1
Mića na TikToku? Otkud Jokić u Melburnu dok je Đoković bio povređen: Gledajte "Pick and roll" kao nijedan do sada VIDEO Evroliga 0
1. Influenser optužen za prevare i nasilje bio iza kamere Vučićevog TikTok lajva: Evo po čemu ga još znamo FOTO
3. Reditelji o napadima na Gorana Markovića: Radikalski rukopis iz devedesetih, ovo je udar na srpsku kulturu, umetnike i zdrav razum
4. Naučna studija otkriva u kojoj godini života telo počinje naglo da stari: Od ovog trenutka sve kreće "nizbrdo"
6. Nastavlja se rat tužilaca saopštenjima: Nenad Stefanović demantuje Branka Stamenkovića, odbacuje optužbe o pristrasnosti
7. Novak podelio tekst britanskog novinara: Konačno mu se klanja i Zapad, uporedili ga sa drugom legendom
8. ISPOVEST "Zatrudnela sam sa 38, a pred porođaj sam doživela sajber nasilje": Zvezda Granda o kojoj je brujao region se udala za 10 godina mlađeg, a danas živi bajku
0 Revolucija u Los Anđelesu – Lebron piše istoriju, Jokić konačno sa saigračem, a „Svet“ preti Americi
0 Alkaraz razočarao navijače nakon titule na Australijan openu: "Morao sam da donesem tešku odluku..."
0 Hajdi Klum stajlingom na dodeli Gremija napravila pometnju: Svi pričaju o njenoj "goloj" haljini FOTO Showbiz 0
1 Influenser optužen za prevare i nasilje bio iza kamere Vučićevog TikTok lajva: Evo po čemu ga još znamo FOTO Showbiz 1
0 RTS objavio sve pesme za PZE 2026: Neka od ovih numera će predstavljati Srbiju na Evroviziji Showbiz 0
0 Emotivan govor Lejdi Gage na dodeli Gremija: Nakon što je osvojila nagradu, posebno se zahvalila svom vereniku VIDEO Showbiz 0
0 "Nikada ne bih dozvolio da Mina dođe u Ameriku": Pevačica ispratila Kaspera, a ono što je on rekao šokiralo je sve Showbiz 0
0 Sin Dejvida Bekama muvao našu pevačicu, ona otkrila sve: "Bezobrazan je, izgledao je kao beskućnik" Showbiz 0
7 Novi kviz opšte kulture za one koji su sigurni da znaju baš sve: Koliko imate tačnih odgovora? Lifestyle 7
4 U ovoj zemlji mladi (18 do 30) najbolje žive: Ne stanuju sa roditeljima i odmah se zaposle, ali postoji caka Lifestyle 4
0 Otkrivamo: Rasta snima nastavak hita „Tajland“ – nova pesma nosi naziv „Aruba, Tajland, Kuba“ Showbiz 0
Nedeljni horoskop od 2. do 8. februara 2026: Saturn (konačno!) izlazi iz znaka Riba i započinje potpuno novo poglavlje
0 More se na ovom mestu razdvoji na dva dela dva puta godišnje: Ovaj fenomen zovu „Božjim čudom“, a istina je... Nauka 0
More se na ovom mestu razdvoji na dva dela dva puta godišnje: Ovaj fenomen zovu „Božjim čudom“, a istina je... Nauka 0
Naučna studija otkriva u kojoj godini života telo počinje naglo da stari: Od ovog trenutka sve kreće "nizbrdo" Zdravlje 0
Marina Tucaković je prvu pesmu koju je napisala posle smrti sina nudila Ceci i Viki, ali bilo je suđeno da je otpeva ova pevačica Sudbine 0
Simbolična poruka i nastup u boksericama: Džastin Biber podelio javnost na dodeli Gremi nagrada VIDEO Showbiz 0
Nenadić: Istraga slučaja "Nadstrešnica" trebalo je da ima tri faze, šteta od 115 miliona dolara je rezultat samo prve faze
Glavni tužilac za organizovani kriminal Nenadić: "Izmenama zakona smo „osakaćeni“, došli u situaciju da nemamo policiju koja hoće da sarađuje sa Tužilaštvom"
0 Alkohol, kokain, depresija... Nije bilo kraja porocima i mukama u životu slavnog pevača - a onda mu je jedna žena promenila sve
0 "Mi smo na crnoj listi, mi smo zabranjeni": Bjelogrlić tvrdi da naši glumci iz "Svadbe" ne mogu da rade u Srbiji
0 ISPOVEST "Zatrudnela sam sa 38, a pred porođaj sam doživela sajber nasilje": Zvezda Granda o kojoj je brujao region se udala za 10 godina mlađeg, a danas živi bajku
0 Rana dijagnoza raka pluća kroz skrining program omogućava pacijentima realnu šansu za izlečenje Zdravlje 0
9 Žena je jela samo konzervirane sardine 70 dana, evo šta se dogodilo kad je izvadila rezultate Zdravlje 9
2 Pronađena nova krvna grupa posle 50 godina misterije: Lekari izvadili krv trudnice i gledali rezultate u čudu Nauka 2
24 Naučnik tvrdi da na planeti živi mnogo više ljudi nego što mislimo: Zvanično nas ima 8,2 milijardi, ali nezvanično... Nauka 24
Šta skrivaju aneksi ugovora za najveće infrastrukturne poslove u Srbiji: Visoka cena direktnog ugovaranja
3 Učenici Tehničke škole izmešteni iz zgrade zbog obrušavanja stepenica, pa prebačeni u objekat u kom je pao plafon i nema toaleta Društvo 3
"Slaže se sve sa informacijama od murije": Belivukova grupa bila pod zaštitom policije, neki "pomagači" osuđeni, neki u procesu, da li ih ima još? Hronika 1
Aleksandar Šulc - SNS provokator koji je napao mlade u Kuli: Jaćimoviću polomio zub, nasrtao na Hrku, za režimske medije "tiktoker Lepi" Politika 0
Otkazan svečani doček hrvatskih rukometaša, jer je grad Zagreb nije dozvolio nastup kontroverznog pevača Tompsona Svet 8
Zašto lakše trošimo novac koji „ne vidimo“ i da li je impulsivna kupovina oblik zavisničkog ponašanja
Elizabeta Eftoska postala konkurencija pevačici: Članovi žirija „Nikad nije kasno“ se utrkivali ko će da joj bude gost na koncertu VIDEO
Šta se dešavalo u bekstejdžu pre početka emisije: Džejla zapevala, a Mare i Žika u ozbiljnom razgovoru VIDEO
Voja Nedeljković otkrio kako mu je Brena ponudila da bude voditelj na svadbi kod Prije i Filipa: „Ja repujem, a ti pevaš?“ VIDEO
NOVA BAZA „Oterani“: Stručnjak smenjen zbog kolegijalnosti, sudija kažnjen zbog „Ceprisa“, inspektora progonili, posthumno ga proglasili za heroja Politika 0
NOVA BAZA „Oterani“: Direktor odbio da vodi naučnike na miting, inspektor zbog „Jovanjice“ proglašen za izdajnika, meteorolog otpušten jer se borio za čist vazduh Politika 0
NOVA BAZA „Oterani“: Lekar smenjen zbog kritikovanja ministra, tužiteljka progonjena jer je ukazala na bezakonje, general odbio da se odrekne veterana Politika 0
NOVA BAZA „Oterani“: Naučnik smenjen zbog Darije Kisić, tužiteljki se osvetio Nenad Stefanović, časni policajac postao „otac blokadera“ Politika 2
Neurohirurg (92) kaže da ovaj desert održava mozak mladim: Možete ga jesti svaki dan, ali pod jednim uslovom
0 Urušila se kuća u Džordža Vašingtona, uništeno nekoliko vozila: Policija i vatrogasci na terenu FOTO VIDEO
3 Najveća zaplena droge u Srbiji: Policija otkrila pet tona marihuane, automatske puške, zolju i municiju u selu kod Kruševca
1 Pogledajte kako je uhapšen osumnjičeni za ubistvo navijača na Novom Beogradu: Pavlu (18) lisice stavljene u stanu u kom se krio VIDEO
Teolog Milićević: Odluka o mom isključenju iz SPC bila u dosluhu sa vrhom države - nema sumnje Društvo 0
Revolucija u Los Anđelesu – Lebron piše istoriju, Jokić konačno sa saigračem, a „Svet“ preti Americi Košarka 0
Nenadić: Istraga slučaja "Nadstrešnica" trebalo je da ima tri faze, šteta od 115 miliona dolara je rezultat samo prve faze Hronika 0
Glavni tužilac za organizovani kriminal Nenadić: "Izmenama zakona smo „osakaćeni“, došli u situaciju da nemamo policiju koja hoće da sarađuje sa Tužilaštvom" Hronika 0
Novinaru TV Nova Radovanu Seratliću uručena nagrada "Gordana Suša": "Uspeo je da pomeri profesionalne standarde na dodatni nivo" Društvo 0
Alkaraz razočarao navijače nakon titule na Australijan openu: "Morao sam da donesem tešku odluku..." Tenis 0
Dva dana pred početak suđenja Selakoviću, podsećamo vas kako je opstrukcija u slučaju "Generalštab" počela Hronika 0
FOTO Tužilac Mladen Nenadić sa svim tužiocima iz JTOK stigao na tribinu na Pravnom fakultetu Hronika 0
SNS štandovi su vesnici izbora, a služe im i da svoje članstvo drže spremno. Problem je što ih je malo… Politika 0
Teške optužbe protiv Vučevića: "Jedan je od glavnih krivaca za smrt 16 ljudi ispod nadstrešnice u Novom Sadu" Društvo 0
Srce: Drecunova tajna sednica o odbrani i unutrašnjim poslovima u Palati Srbija, nije čak bio ni Dačić Politika 0
Milan St. Protić: „Nemamo novog Andrića. S razlogom ne postoji Nobelova nagrada za sport, ne možemo se oslanjati na sportiste da nas predstavljaju u međunarodnim okvirima“ Društvo 0
Dačić potvrdio da postoje povlašćeni novinari koje zovu da prisustvuju policijskim akcijama kako bi imale ekskluzivni materijal Hronika 0
Stranac pitao "Kako si?", pa pobegao: Napadač sa Senjaka ušao u restoran, iz torbe za dostavu izvadio pištolj i prišao stolu za kojim su sedela četvorica muškaraca Hronika 0