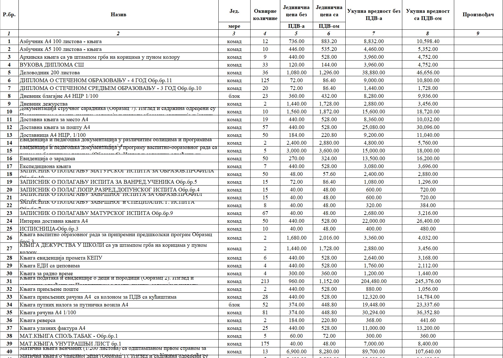
Dragana Sotirovski i kancelarijski materijal Foto:TANJUG/ DRAGAN KUJUNDZIC/Shutterstock Dragana Sotirovski i kancelarijski materijal Foto:TANJUG/ DRAGAN KUJUNDZIC/Shutterstock Dragana Sotirovski i kancelarijski materijal Foto:TANJUG/ DRAGAN KUJUNDZIC/Shutterstock Iz Niša stiže možda najbizarnija afera: Ovo je epska pljačka - spajalicama! autor: Jelena Jelovac Politika 25. jul. 2022. 16:25 0 Podeli vest: Grad Niš potpisao je okvirni sporazum sa dve firme iz Beograda o nabavci kancelarijskog materijala vrednoj čak 40 miliona dinara. Predsednica Gradskog odbora Stranke slobode i pravde Jelena Milošević za Nova.rs kaže da je reč o pljački epskih razmera, jer će gradska kuća veći deo artikala obuhvaćenih ovim ugovorom plaćati dva ili tri puta više nego što oni koštaju u niškim maloprodajama. Podeli vest: Oglas Okvirni sporazum o nabavci kancelarijskog materijala gradonačelnica Dragana Sotirovski je u ime grada Niša potpisala sa firmama AIO PRO doo i Nemetschek iz Beograda. Vrednost ugovora je 40 miliona dinara. Sama suma se već na prvu loptu čini previsokom, a da se ovo teško može nazvati najpovoljnijom ponudom, jasno je već nakon etimičnog pregleda cena u ugovoru u koji je Nova.rs imala uvid. Foto: Printscreen Foto: Printscreen Foto: Printscreen Foto: Printscreen Foto: Printscreen Foto: Printscreen Foto: Printscreen Foto: Printscreen + 1 / 5 Foto: Printscreen Foto: Printscreen / 5 Foto: Printscreen Foto: Printscreen / 5 Foto: Printscreen Foto: Printscreen / 5 Foto: Printscreen Foto: Printscreen / 5 Foto: Printscreen Foto: Printscreen Tako je recimo držač, postolje za selotejp grad Niš nabavljao po ceni od 552 do 672 dinara po komadu, patrone za naliv pero po ceni od 681 dinar, samolepljive nalepnice za 1.713 dinara, dok je cena ukoričenih sveski A4 formata 885 dinara po komadu. Zanimljivo je i da je cena vizitara 1.488 dinara, bušača papira 1.003, a PVC kesa od 740 do 888 dinara po komadu.Predsednica Gradskog odbora Stranke slobode i pravde u Nišu Jelena Milošević kaže da je reč o čistoj pljački Nišlija. Oglas Jelena Milošević Foto: Miljana Isailović | Jelena Milošević Foto: Miljana Isailović “Ovo je epska pljačka na spajalicama. Potpuno je neverovatno da od 300 i više artikala dobar deo košta od dva do 10 puta više nego što se ista ta roba može kupiti u običnoj niškoj knjižari. Imate situaciju da obične hemijske olovke koštaju neverovatnih 372 dinara, dok ih u knjižarama možete kupiti za tridesetak dinara. Tabulir A3 papir nabavljen je po ceni od 9.000 dinara, dok ga u knjižarama možete naći za 2.800 dinara. Selotejp za potrebe gradske kuće nabavljamo za 264 dinara, a cena mu se u maloprodaji kreće oko 85”, navodi Milošević za Nova.rs.Kako dalje objašnjava, kao najbolji ponuđači izabrane su dve firme iz Beograda.“Meni je zaista neverovatno da u Nišu ne postoji nijedna firma koja može gradsku upravu da snabdeva ovim potrošnim materijalom, a znamo da mnoge niške porodice žive od toga, mnogi se bave ovim poslom. Procenjena vrednost javne nabavke je 40 miliona dinara, a gruba procena je da je bar polovina preplaćena, odnosno da isti ti artikli mogu da se nađu po upola manjoj ceni. Primera radi, umesto što su napunili džepove beogradskim firmama mogli su da kupe udžbenike za 2.400 prvaka koji ove godine kreću u školu u Nišu. To je samo jedna nabavka, zamislite šta se dešava sa javnim nabavkama koje su višestruko veće i šta je sve moglo da se uradi za novac koji je otišao u naprednjačke džepove”, zaključuje Milošević.Ovo nije prva afera u kojoj se spominje ime gradonačelnice Niša Dragane Sotirovski. Dragana Sotirovski Foto:N1 | Dragana Sotirovski Foto:N1 Nedavno je pravu buru u javnosti izazvala informacija da se ime njenog zeta našlo na rang listi za socijalne stanove."Kao odgovoran političar poslala sam zahtev Agenciji za sprečavanje korupcije i ukoliko Agencija na bilo koji način kaže da sam kao gradonačelnik u sukobu interesa zet će se povući sa te pozicije, pa će ustupiti mesto nekom ko je sledeći, a ako ne, ide u legalnu kupovinu tog stana“, izjavila je tada Sotirovski.Volšebno se mesecima krio i zapisnik saobraćajne nesreće u kojoj je Sotirovski učestvovala.Mediji su pisali i o enormnim sumama koje su u okviru niškog budžeta tokom epidemije korone predviđene za rekonstrukciju trga u Nišu i izgradnju akkva parka.BONUS VIDEO: Skandal u Nišu: Došla da prijavi nelegalne, inspektor je poslao da se leči Oglas video-cdn src="https://best-vod.umn.cdn.united.cloud/stream?asset=skandalunisuaudioik-novas-worldwide&stream=hp3500&t=0&player=m3u8v&sp=novas&u=novas&p=n0v43!23t001" video-id="2903185"]Pratite nas i na društvenim mrežama:FacebookTwitterInstagram 40 miliona dinara Grad Niš jelena milošević kancelarijski materijal nabavka SSP Pratite nas na društvenim mrežama: Koje je tvoje mišljenje o ovoj temi? Učestvuj u diskusiji ili pročitaj komentare Budite prvi koji će ostaviti komentar Pošalji komentar Pročitaj komentare (0)
0 Nemci pomeraju granice: Ovi radnici ići će u penziju s 57 godina, uz 95 posto plate i plaćene doprinose Lifestyle 0
9 Jakna od 800 evra rasprodata je za dan, a izgleda gore od one koju ste bacili prošle godine: Da li je ovo najbizarniji modni komad decenije? Lifestyle 9
14 Evropske zemlje s najvećim propisanim minimalcem: U jednoj iznosi skoro tri prosečne srpske plate, a pogledajte gde je Srbija na listi Priča se 14
0 U jednom kraju Srbije ledeni dan, u drugom do 13 stepeni: RHMZ prognoza do kraja nedelje Lifestyle 0
1. Imenovan novi načelnik Službe za droge: Umesto čoveka koji je otkrio 5 tona marihuane, postavljen kadar iz JZO
2. FOTO Pogledajte gde je Novak sleteo iz Australije: Odmah su na aerodromu skočili da se fotografišu sa njim
3. Roditelji: Direktor Jovine gimnazije optužio Maju Gojković i Žarka Mićina za raseljavanje đaka, dostavio i dokaze
5. Vanja Bulić objavio nikad viđenu fotografiju sa venčanja Dragana i Maje Bjelogrlić: Pogledajte kako su mladenci izgledali FOTO
0 Ko su Hrvati u Epstinovim fajlovima: Jedan mu nudio hrvatske manekenke, pominju se poznata voditeljka, naučnici
0 Vanja Bulić objavio nikad viđenu fotografiju sa venčanja Dragana i Maje Bjelogrlić: Pogledajte kako su mladenci izgledali FOTO
0 "Dok sam ja predsednik, Srbija je na evropskom putu": Vučić tvrdi da je spreman da sa EU prispita Mrdićeve zakone
6 Učenika Pete gimnazije koji je javno govorio o direktorki Danki Nešović tri sata ispitivali: Moguća disciplinska mera udaljavanje iz škole Društvo 6
0 "Hvalio se da je išao u lov na ljude": Pojavio se prvi osumnjičeni u slučaju "Sarajevo safari" Svet 0
0 Odbornik Kreni-Promeni Aleksandar Jovanović zaustavio nelegalne radove u Kneza Miloša VIDEO Politika 0
0 Sukob građana i maskiranog obezbeđenja na gradilištu u Kneza Miloša: Policija stajala i gledala VIDEO Društvo 0
0 Uhapšen muškarac koji je bacio bombu na kuću Zdravka Čolića: Traga se za još jednom osobom Hronika 0
7 Jedan mesec 40.000 dinara, drugi 60.000, treći 80.000… Nemanja u šoku zbog računa za struju, pogledajte šta mu radi EPS Biznis 7
Kardiohirurg objasnio šta treba da uradite ako imate srčani udar, a sami ste: Čak i jedan od ovih 6 saveta bi mogao da vam spasi život
VIDEO Jokićev tripl-dabl za istoriju u hramu košarke: Ludačka drama završena posle dva produžetka, Srbin radio šta je hteo
Studenti ne veruju da je Danica Grujičić protivnik vlasti: “Ne padamo na to, jasno je da će biti satelit SNS-a”
0 Janakopulos se oglasio zbog skandala trenera Olimpijakosa: "Nijedan „patuljak“ nema pravo da uzima Panatinaikos u svoja usta"
0 FOTO Pogledajte gde je Novak sleteo iz Australije: Odmah su na aerodromu skočili da se fotografišu sa njim
"Ili ga ubij ili se razvedi": Petar Mitić i Ivana Pavković nakon skandala progovorili o svom odnosu Showbiz 0
Stižu čak četiri filma o Bitlsima, svaki član dobiće svoju priču: Iza svega stoji slavni reditelj, a postava je zvezdana Film 0
Zašto lakše trošimo novac koji „ne vidimo“ i da li je impulsivna kupovina oblik zavisničkog ponašanja
Neurohirurg (92) kaže da ovaj desert održava mozak mladim: Možete ga jesti svaki dan, ali pod jednim uslovom
0 Iskusni putnici ostaju na aerodromu zbog ovog nepoznatog pravila: Detalj o kojem ne razmišljate kad pokazujete pasoš, a mogao bi da vam upropasti put Putovanja 0
0 Uđi, prespavaj, prodaj: Novi koncept putovanja privlači sve više turista, termini popunjeni dve godine unapred Putovanja 0
11 Nikoli su za kamenu kuću nudili tri hotela u Dubaiju, ali je rekao - ne: Kad vidite kako izgleda, sve će vam biti jasno Putovanja 11
20 Objavljena lista evropskih zemalja koje turisti ne žele da posete: Na spisku je Srbija - evo na kom mestu smo završili Putovanja 20
2 Pet tona droge stiglo iz firme u Skoplju osnovane 2023. godine, čiji je vlasnik Srbin i posluje u gubitku: Novi detalji istorijske zaplene u selu Konjuh
1 VIDEO Dve osobe uhapšene u velikoj akciji policije u Zemunu: U garaži nađeno 500.000 psihoaktivnih tableta
Umesto kornišona, puno skladište marihuane: Čime se bavila firma odbornika SNS-a, uhapšenog sa pet tona marihune?
0 Uhapšen muškarac koji je bacio bombu na kuću Zdravka Čolića: Traga se za još jednom osobom Hronika 0
0 Studenti ne veruju da je Danica Grujičić protivnik vlasti: “Ne padamo na to, jasno je da će biti satelit SNS-a” Društvo 0
0 VIDEO Jokićev tripl-dabl za istoriju u hramu košarke: Ludačka drama završena posle dva produžetka, Srbin radio šta je hteo Košarka 0
0 Kardiohirurg objasnio šta treba da uradite ako imate srčani udar, a sami ste: Čak i jedan od ovih 6 saveta bi mogao da vam spasi život Zdravlje 0
Ko su Hrvati u Epstinovim fajlovima: Jedan mu nudio hrvatske manekenke, pominju se poznata voditeljka, naučnici Svet 0
Vanja Bulić objavio nikad viđenu fotografiju sa venčanja Dragana i Maje Bjelogrlić: Pogledajte kako su mladenci izgledali FOTO Showbiz 0
"Dok sam ja predsednik, Srbija je na evropskom putu": Vučić tvrdi da je spreman da sa EU prispita Mrdićeve zakone Politika 0
"Hvalio se da je išao u lov na ljude": Pojavio se prvi osumnjičeni u slučaju "Sarajevo safari" Svet 0
Rajić: Sudija se prema Selakoviću ponaša kao da je infantilan i da mu treba staratelj, a ne kao da ima pet branilaca Hronika 0
Trejdovan Vanja Marinković, bio neophodan da se desi razmena: Rajaković dobija zvezdu koja će biti otpuštena Košarka 0
0 Privedeni simpatizeri Milana Nedića: Zaobišli policiju i naoružani palicama i kaiševima pokušali da priđu antifašistima Hronika 0
Privedeni simpatizeri Milana Nedića: Zaobišli policiju i naoružani palicama i kaiševima pokušali da priđu antifašistima Hronika 0
"Prvi ministar iz SNS na optuženičkoj klupi, blizak Vučićev saradnik": Svetski mediji o suđenju Nikoli Selakoviću Politika 0
Prete li Srbiji posle "Mrdićevih zakona" i "Odalovićevi zakoni"?: MUP na mala vrata pokušava da progura rešenja koja su "pala" dva puta Hronika 0
"Zbog pretnji noću ne idem nigde, preko dana samo ako moram": Robert je odbio da vozi autobus sa pristalicama SNS, a onda mu se život pretvorio u pakao Politika 0
"Ili ga ubij ili se razvedi": Petar Mitić i Ivana Pavković nakon skandala progovorili o svom odnosu Showbiz 0
1. Kako je skoro 4.000 pacijenata za pet dana nestalo sa liste čekanja samo za jednu operaciju: Vučić podviknuo na Lončara, pa se spisak drastično smanjio
2. Antifašisti i simpatizeri Milana Nedića u centru Beograda: Dupli kordoni policije razdvajaju dve grupe
4. "Zbog pretnji noću ne idem nigde, preko dana samo ako moram": Robert je odbio da vozi autobus sa pristalicama SNS, a onda mu se život pretvorio u pakao
5. Tajne prepiski Selakovića i optuženih za "Generalštab": Preko Vajbera i Vocapa razgovarali o državnoj aferi, ministar zaposlenu nazvao "ozbiljnim ustašom"
6. BLOG UŽIVO "Slučaj Generalštab kao pokušaj uništava istorije i paljenja Narodne biblioteke": Studenti otišli sa skupa ispred Suda, predali pismo zbog suđenja Selakoviću
8. Sigurnosne kamere zabeležile trenutak kada dvojica napadača bacaju bombu na Čolinu kuću: Policija poseduje snimak
9. Pobednica „Zvezda Granda“ maznula mlađeg frajera: Teodora uživa s novim dečkom, uskoro ćemo ih gledati zajedno
0 Janakopulos se oglasio zbog skandala trenera Olimpijakosa: "Nijedan „patuljak“ nema pravo da uzima Panatinaikos u svoja usta"
0 FOTO Pogledajte gde je Novak sleteo iz Australije: Odmah su na aerodromu skočili da se fotografišu sa njim
0 Edita Aradinović raskinula s dečkom kad je ostala trudna, a naša pevačica koju svi znate uradila je isto - samo mesec dana posle porođaja Showbiz 0
7 "Ne postoje ti uslovi za koje bi Aleksandra Prijović trenutno došla da peva na romsko veselje": Harmonikaš otkrio sve - "Tražila je da se obrišu snimci" Showbiz 7
0 Stižu čak četiri filma o Bitlsima, svaki član dobiće svoju priču: Iza svega stoji slavni reditelj, a postava je zvezdana Film 0
0 Nemci pomeraju granice: Ovi radnici ići će u penziju s 57 godina, uz 95 posto plate i plaćene doprinose Lifestyle 0
0 Obezbeđenje na ulazu, svuda postavljene kamere: Poznato gde će Milica Todorović živeti sa sinom Showbiz 0
0 Pobednica „Zvezda Granda“ maznula mlađeg frajera: Teodora uživa s novim dečkom, uskoro ćemo ih gledati zajedno Showbiz 0
0 "Dve godine sam se tuširao kod nje, a ona kod mene prala veš": Borko Radivojević progovorio o razvodu od Milene sa kojom ima troje dece Showbiz 0
9 Jakna od 800 evra rasprodata je za dan, a izgleda gore od one koju ste bacili prošle godine: Da li je ovo najbizarniji modni komad decenije? Lifestyle 9
3 Stigli rezultati velike studije o raku - stručnjaci tvrde: "Sad imamo informacije da ga sprečimo pre nego što počne" Zdravlje 3
Stigli rezultati velike studije o raku - stručnjaci tvrde: "Sad imamo informacije da ga sprečimo pre nego što počne" Zdravlje 3
Uđi, prespavaj, prodaj: Novi koncept putovanja privlači sve više turista, termini popunjeni dve godine unapred Putovanja 0
Kardiohirurg objasnio šta treba da uradite ako imate srčani udar, a sami ste: Čak i jedan od ovih 6 saveta bi mogao da vam spasi život
VIDEO Jokićev tripl-dabl za istoriju u hramu košarke: Ludačka drama završena posle dva produžetka, Srbin radio šta je hteo
Studenti ne veruju da je Danica Grujičić protivnik vlasti: “Ne padamo na to, jasno je da će biti satelit SNS-a”
0 "Asocira me na neke ružne stvari": Mina Kostić otkrila zašto ne voli jedan od svojih najvećih hitova
0 Kardiohirurg objasnio šta treba da uradite ako imate srčani udar, a sami ste: Čak i jedan od ovih 6 saveta bi mogao da vam spasi život Zdravlje 0
3 Stigli rezultati velike studije o raku - stručnjaci tvrde: "Sad imamo informacije da ga sprečimo pre nego što počne" Zdravlje 3
6 U ovim gradovima su najskuplji stanovi za iznajmljivanje - jedan mesec kao 5 plata: Ako ste mislili da je Beograd skup, pogledajte ovo Lifestyle 6
6 Naučnici prvi put zavirili u poslednje trenutke mozga dok telo umire: "Sad znamo kakav je osećaj umreti" Nauka 6
Kina i SAD u sukobu oko najbogatijeg svetskog ležišta dva retka metala: Kineskinja kažnjena zbog kršenja zakona
2 Epstin želeo da kupi "Titovu vilu": "Rekli su mi da se svih pet vlada mora složiti, srpska i ostale" Svet 2
Ko su Hrvati u Epstinovim fajlovima: Jedan mu nudio hrvatske manekenke, pominju se poznata voditeljka, naučnici Svet 0
Prete li Srbiji posle "Mrdićevih zakona" i "Odalovićevi zakoni"?: MUP na mala vrata pokušava da progura rešenja koja su "pala" dva puta Hronika 0
Zašto lakše trošimo novac koji „ne vidimo“ i da li je impulsivna kupovina oblik zavisničkog ponašanja
„Mene ništa više ne može da šokira“: Ceca Ražnatović o bombi koja je bačena na Čolinu vilu: „Treba da se oglasi policija“ VIDEO
Oglasio se Zdravko Čolić nakon incidenta: „Neke izjave su protumačene na način koji ne odgovara pravom stanju stvari“
NOVA BAZA „Oterani“: Stručnjak smenjen zbog kolegijalnosti, sudija kažnjen zbog „Ceprisa“, inspektora progonili, posthumno ga proglasili za heroja Politika 0
NOVA BAZA „Oterani“: Direktor odbio da vodi naučnike na miting, inspektor zbog „Jovanjice“ proglašen za izdajnika, meteorolog otpušten jer se borio za čist vazduh Politika 0
NOVA BAZA „Oterani“: Lekar smenjen zbog kritikovanja ministra, tužiteljka progonjena jer je ukazala na bezakonje, general odbio da se odrekne veterana Politika 0
NOVA BAZA „Oterani“: Naučnik smenjen zbog Darije Kisić, tužiteljki se osvetio Nenad Stefanović, časni policajac postao „otac blokadera“ Politika 2
Neurohirurg (92) kaže da ovaj desert održava mozak mladim: Možete ga jesti svaki dan, ali pod jednim uslovom
0 Urušila se kuća u Džordža Vašingtona, uništeno nekoliko vozila: Policija i vatrogasci na terenu FOTO VIDEO
VIDEO Jokićev tripl-dabl za istoriju u hramu košarke: Ludačka drama završena posle dva produžetka, Srbin radio šta je hteo Košarka 0
Studenti ne veruju da je Danica Grujičić protivnik vlasti: “Ne padamo na to, jasno je da će biti satelit SNS-a” Društvo 0
Rajić: Sudija se prema Selakoviću ponaša kao da je infantilan i da mu treba staratelj, a ne kao da ima pet branilaca Hronika 0
Privedeni simpatizeri Milana Nedića: Zaobišli policiju i naoružani palicama i kaiševima pokušali da priđu antifašistima Hronika 0
Mačvanski poljoprivrednici organizovali sastanak u restoranu predsednika opštine Bogatić: „Ovde inspekcija ne sme da uđe“ Društvo 0
Trejdovan Vanja Marinković, bio neophodan da se desi razmena: Rajaković dobija zvezdu koja će biti otpuštena Košarka 0
"Dok sam ja predsednik, Srbija je na evropskom putu": Vučić tvrdi da je spreman da sa EU prispita Mrdićeve zakone Politika 0
"Prvi ministar iz SNS na optuženičkoj klupi, blizak Vučićev saradnik": Svetski mediji o suđenju Nikoli Selakoviću Politika 0
Skup podrške učeniku Pete: Gimnazija je sada više nalik na „staljinistički gulag, u kojem je diktator poslao upravnika da ih pokori i slomi duh“ Društvo 0
"Nova" piše: Kako je sa liste čekanja nestalo više od 6.000 pacijenata za operacije kuka i kolena Društvo 0
Penjaroja imao poruku za Fernanda, pa pričao o povratku Vaingtona: "Stigli smo u pet ujutru u Beograd" Evroliga 0