Osmacima u Srbiji ostalo je svega četiri dana do prijemnog ispita. Prvog dana, 23. juna polagaće test iz srpskog jezika, dok će u utorak i sredu, 24. i 25. juna rešavati zadatke iz matematike i izbornog predmeta. Iako je za neke đake ova godina bila drugačija od prethodnih zbog štrajka prosvetnih radnika, ipak su svi imali vremena da se pripreme, a svoje znanje proverili su ranije na probnom prijemnom ispitu. Prema rečima nastavnika matematike Slaviše Rakića, većini učenika su slični zadaci predstavljali problem. U nastavku teksta pogledajte o kakvim zadacima je reč.
Ako se prisetimo prošlogodišnjih malih maturanata i njihovih reči nakon završenog prijemnog ispita, zadaci iz matematike te godine bili su znatno lakši nego iz srpskog jezika.
To je za Nova.rs potvrdio i nastavnik matematike Slaviša Rakić, rekavši da deca sve manje čitaju knjige, zbog čega im je književnost potpuno nepoznata, pa su im zadaci iz matematike „lakše pali“ nego iz srpskog jezika.
Ipak, bilo je i nekoliko zadataka koji su namučili tadašnje osmake, a kako kaže nastavnik, te iste zadao je svojim đacima na pripremnoj nastavi i većina njih nije znala da ih reši.
„Postoje određeni zadaci koji zahtevaju duplo uključivanje mozga i verujem da i oni najbolji đaci moraju nekoliko minuta da razmisle prilikom rešavanja. Recimo, imamo zadatak o proizvodnji hleba. Đacima je predstavljen dijagram na kom je od njih traženo da ga dovrše i prikažu proizvodnju hleba. Poenta je što u takvim zadacima postoji više zahteva: koliko je tona hleba proizvedeno, pa u kom periodu je proizvodnja bila najmanja, a u kom najveća. Ovakvi zadaci mogu dosta da zbune učenika koji, ako ne znaju da urade prvi zahtev, najčešće ne urade ni ostale“, kaže nastavnik matematike.
Nastavnik je podsetio na pet zadataka koji su, prema njegovom mišljenju, bili među najtežima. Oni su se kao takvi pokazali i ove godine na probnom prijemnom ispitu.
„Deci već tradicionalno problem pravi izračunavanje osenčenog dela predmeta. To zaista veliki broj učenika nije znao da izračuna i verujem da i dalje ne znaju kako se izračunava“, naglašava on.
Puls je broj otkucaja srca u minutu. Puls je u mirovanju nizak i povećava se sa porastom intenziteta fizičke aktivnosti. Za osobu koja ima g godina, maksimalni puls ne treba da prelazi 220 – g otkucaja u minutu. Donja granica poželjnog pulsa je najveći prirodan broj koji je manji od 50 % maksimalnog pulsa. Gornja granica poželjnog pulsa je najmanji prirodan broj veći od 70 % maksimalnog pulsa. Odredi donju i gornju granicu poželjnog pulsa za osobu koja ima 15 godina. Prikaži postupak.
Postupak: 220-15=205 205*0,5=102,5 205*0,7=143,5.
Rešenje: Donja granica poželjnog pulsa je 102, a gornja granica je 144.
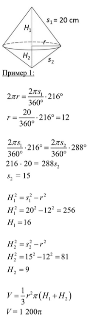
Telo se sastoji od dve prave kupe sa zajedničkom osnovom, pri čemu se vrhovi nalaze sa raznih strana osnove. Izračunaj zapreminu ovog tela koristeći podatke prikazane na njegovoj mreži. Prikaži postupak.

Postupak:

Rešenje: Zapremina tela je 1.200п (pi) cm3.
Jelena živi u Novom Sadu i svakog vikenda posećuje tetku koja živi u selu kod Bačke Palanke. U decembru 2023. godine pronašla je promotivnu ponudu kompanije „Moj autobus”. Autobus na toj liniji prolazi kroz selo u kome živi Jelenina tetka, a cena povratne karte je 650 dinara i nije se menjala tokom 2024. godine, koja je imala 52 vikenda. Koliko dinara je Jelena uštedela zahvaljujući ovoj
promotivnoj ponudi?
a) 8.450
b) 16.900
v) 25.350
g) 33.800
Rešenje: 8.450.
Koji od datih izraza je jednak izrazu (5x + 4y)² – (3x – 3y)² za sve vrednosti promenljivih x i y?
a) 15x² – 3xy – 12y²
b) 16x²+ 58xy + 7y²
v) 10x²+ 43xy + 28y²
g) 24x²– 21xy – 3y².
Rešenje: 16x²+ 58xy + 7y².
U prodavnici „Zdravlje“ prošlog meseca su prodali 2.400 vekni polubelog hleba. Ovog meseca broj prodatih vekni ovog hleba porastao je za 12,5 %. Koliko je vekni polubelog hleba prodato u poslednja dva meseca u prodavnici „Zdravlje“?
a) 2.700 vekni
b) 5.100 vekni
v) 4.100 vekni
g) 5.700 vekni
Rešenje: 5.100 vekni.
BONUS VIDEO: Student Aljoša iz Novog Sada: Interventna me udarila pesnicom u oko, pendrekom u prepone i štitom u glavu
Učestvuj u diskusiji ili pročitaj komentare